|
|
|
|
|
外源 5-氨基乙酰丙酸(ALA)调节梨叶光合效率的机制研究 | MDPI Forests |
|
|
论文标题:Study on the Mechanism of Exogenous 5-Aminolevulinic Acid (ALA) in Regulating the Photosynthetic Efficiency of Pear Leaves
论文链接:https://www.mdpi.com/1999-4907/15/5/769
期刊名:Forests
期刊主页:https://www.mdpi.com/journal/forests
近日,南京农业大学园艺学院汪良驹教授团队研究论文Study on the Mechanism of Exogenous 5-Aminolevulinic Acid (ALA) in Regulating the Photosynthetic Efficiency of Pear Leaves(《外源 5-氨基乙酰丙酸(ALA)调节梨叶光合效率的机制研究》)在Forests期刊发表。该研究探讨了外源ALA提高梨树叶片光合作用的可能机制,为ALA在梨树生产应用上提供了理论依据。
研究过程与结果
5-氨基乙酰丙酸(ALA)是一种新型天然植物生长调节物质,在植物生产中能够起到多种调节作用,其中ALA提高植物光合作用效应尤为引人关注。2023年,汪良驹教授研究团队制订并发布了《5-氨基乙酰丙酸 桃树施用技术规程》团标(TJAASS 88—2023),规范了ALA在桃上应用标准。但这个规程是否适用于其它树种尚不清楚,ALA提高植物叶片光合效率的内在机制更需要深入研究。因此,作者以盛果期‘华山’梨为材料,参照TJAASS 88—2023要求,在果树开花前一周用ALA稀释液灌根防寒、在盛花后期喷花以去除过多花朵的基础上,于幼果发育期叶片喷施ALA溶液,探讨ALA对梨树叶片光合能力的影响,通过叶片气体交换参数、叶绿素快速荧光特性以及叶绿素合成、光合系统II电子传递载体相关基因表达等分析,以期阐释ALA对梨叶片光合作用的调控机理。
1. ALA处理显著促进梨叶片净光合速率(Pn)等光合气体交换参数
梨树叶片喷施外源ALA后1周,叶片Pn就显著高于对照。这种效应至少持续5周。5周间,ALA诱导的净光合速率(Pn)平均增幅29.28%(图1A),ALA处理叶片蒸腾速率(Tr)平均比对照高出13.94%(图1B)。与此类似,ALA处理后梨叶片气孔导度(Gsw)整体上比对照高出18.73%(图1C)。而且,梨叶片瞬时羧化效率(Pn/Ci)总平均值比对照增加32.30%(图1E),水分利用效率提高11.16%(图1F)。由此可见,ALA处理提高梨树叶片光合性能至少可以保持3-4周。

图1 ALA处理对梨叶片光合气体交换参数的影响。
2. ALA处理显著促进梨叶片内源ALA的合成与代谢
研究结果显示,外源ALA处理可以诱导梨树叶片内源ALA含量增加。在ALA处理后5周内,外源ALA诱导的内源ALA含量增幅达41.99%(图2A)。在此过程中,外源ALA处理一方面显著提高内源ALA合成能力,5周内的平均值提高54.54%(图2B);另一方面,在ALA处理后第2周外源ALA处理促进梨叶片内源ALA代谢分解。这意味着,外源ALA喷施梨叶片不仅促进内源ALA合成,而且促进ALA代谢。外源ALA对内源ALA合成的促进效应至少保持5周。

图2 外源ALA对梨叶片内源ALA含量(A)、生物合成(B)和代谢能力(C)的影响
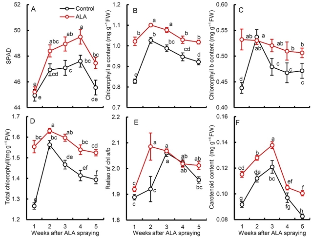
3. ALA处理显著促进梨叶片光合色素的合成
如图3A所示,ALA处理后第二周开始,处理叶片叶绿素相对含量(SPAD)均显著高于对照。从图3B-D看,ALA处理1周后梨树叶片叶绿素a、叶绿素b以及叶绿素总量均显著高于对照。尽管第2周两者Chl b含量没有差异,但其它时间点的差异均达到显著水平,说明ALA处理促进梨叶片叶绿素积累,缓解其含量下降。具体来说,ALA处理叶片五周内Chl a、Chl b和叶绿素总量的平均值分别比对照高出11.38%、8.59%和10.44%。另外,ALA促进提高梨叶片Chl a/b比值,说明ALA促进叶片叶绿素a积累,但不利于a转化为b。与此类似,ALA处理也可以促进叶片类胡萝卜素(Car)含量上升(图3F),且五周平均值比对照高出16.25%。

图3 ALA处理对梨叶片光合色素含量的影响。(A)叶绿素相对含量、(B)叶绿素a、(C)叶绿素b、(D)总叶绿素含量、(E)Chla/b比值、(F)类胡萝卜素含量
4. ALA处理对叶绿素合成相关基因表达的影响
为探究外源ALA提高梨叶片叶绿素含量的机理,作者分析了叶片喷施ALA后与ALA以及叶绿素生物合成相关的主要基因相对表达量。可以看出,催化ALA合成的两个关键基因HEMA和GSA相对表达量在外源ALA处理后明显上调。并且,ALA处理的叶片HEMF基因表达量至少在4周内显著高于对照。类似的情况出现在HEMG(催化原卟啉原Ⅸ生成原卟啉Ⅸ)和CHLH(催化原卟啉Ⅸ螯合Mg2+生成Mg-原卟啉Ⅸ)。CHLH是控制叶绿素生物合成分支的第一个基因。从图中看,ALA处理第1周叶片CHLH相对表达量显著高于对照。这种效应可以维持3周。从整体上看,ALA促进其自身合成、代谢以及转化为叶绿素的编码基因表达,特别是处理后4周内,多数基因表达均受到不同程度上调。

图4 叶绿素生物合成途径及ALA处理对梨叶片相关基因表达的影响
5. ALA提高叶绿素合成关键基因PypHEMA和PypCHLH的启动子活性
为了进一步探究ALA调控叶绿素合成机制,作者通过在烟草中进行的GUS染色实验研究ALA对叶绿素合成过程中关键基因启动子的影响。结果表明,外源ALA可以显著增强PypHEMA和PypCHLH基因启动子活性。因而,外源ALA处理可能通过上调内源ALA合成关键基因HEMA和叶绿素合成关键基因CHLH启动子活性,促进基因表达,从而导致梨叶片叶绿素含量提升。

图5 外源ALA对ALA和叶绿素合成相关基因启动子活性的影响
6. 外源ALA处理对梨叶片PSII相关基因的影响
作者在叶绿素快速荧光曲线中观察到ALA对梨叶片PSII反应中心(PSII-RC)光合电子传递效率的促进作用。为了探讨其作用机制,作者还检测了ALA处理后5周内PSII-RC主要成员编码基因在梨叶片中的相对表达量。结果表明,ALA处理可以通过促进PSII-RC核心结构蛋白和其他功能小分子蛋白编码基因的表达,来维持PSII反应中心的稳定性,促进植物光合作用。

图6 PSII反应中心结构及ALA处理对梨叶片相关基因表达的影响
研究总结
本文参照TJAASS 88—2023团标《5-氨基乙酰丙酸 桃树施用技术规程》要求用ALA处理梨树,至少可以在3周以上时间内维持较高的叶片光合效率,而且这种效应可以表现在多个方面。在叶绿素合成过程中,外源ALA不仅可以促进内源ALA合成与代谢,还可以促进叶绿素合成,增加光合色素含量;在光合电子传递过程中,ALA促进梨叶片PSII-RC核心蛋白基因表达,提高PSII-RC活性,促进光合电子传递和能量转化。作者的研究证明了TJAASS 88—2023标准也适合于梨树。而且,没有展示的数据表明,ALA处理过的梨单果重增加19.7%,果实可溶性糖含量提高14.5%。这些结果为ALA在梨生产上应用提供了理论依据。

特别声明:本文转载仅仅是出于传播信息的需要,并不意味着代表本网站观点或证实其内容的真实性;如其他媒体、网站或个人从本网站转载使用,须保留本网站注明的“来源”,并自负版权等法律责任;作者如果不希望被转载或者联系转载稿费等事宜,请与我们接洽。