|
|
|
|
|
中国海洋大学李德海团队——南极海绵共附生真菌活性次级代谢产物研究 | MDPI Marine Drugs |
|
|
论文标题:Antibacterial Cyclic Tripeptides from Antarctica-Sponge-Derived Fungus Aspergillus insulicola HDN151418
期刊:Marine Drugs
作者:Chunxiao Sun et al.
发表时间:26 October 2020
DOI:10.3390/md18110532
微信链接:
https://mp.weixin.qq.com/s?__biz=MzI1MzEzNjgxMQ==&mid=2649975282&idx=2&sn=
5c50a894da481a1f7de1895efb4177aa&chksm=f1ded336c6a95a20df741a79d849cce79
0fd07415672f44d01c2ab2495cf207d2a139373e1f1&token=940521072&lang=zh_CN#rd
期刊链接:https://www.mdpi.com/journal/marinedrugs
作者简介

李德海,中国海洋大学医药学院教授,博士生导师。入选教育部“长江学者”青年专家、教育部“新世纪优秀人才支持计划”、自然资源部“高层次科技创新人才”、 青岛海洋科学与技术试点国家实验室“鳌山人才”优秀青年学者、山东省“泰山学者”青年专家等。目前是中国药学会高级会员,中国药学会海洋药物专业委员会委员、青年委员会主任;中国海洋湖沼学会药学分会理事、副秘书长。主要从事海洋天然药物化学研究,致力于利用化学和生物学手段从海洋微生物中发现具有潜在药用价值的活性成分。已授权专利9项。主持承担国家自然科学基金、山东省、教育部等二十余个项目。

朱天骄,中国海洋大学医药学院教授,博士生导师。中国菌物学会药用真菌专业委员会委员,中国微生物学会会员,中国化学会会员。主要从事海洋微生物、极端环境微生物药用资源及其活性代谢产物研究。建立了较为系统的极地微生物资源库、代谢产物组分库和化合物库,为极地微生物药用研究提供物质基础。主持国家及省部级课题多项,发表SCI收录论文百余篇,授权国家发明专利3项。

孙春晓,中国海洋大学在读博士生。主要从事极地微生物的分离及其活性物质研究。采用OSMAC策略等方法挖掘极地真菌次级代谢潜能,激活菌株沉默基因,提高极地生物资源的利用效率。
引言
南极具有长年低温、干燥、低营养、强辐射及温差大等特点,蕴藏了极为丰富和特殊的微生物资源,是产生新型生物活性物质和先导化合物微生物的潜在种源地。
中国海洋大学医药学院李德海、朱天骄研究团队在对海洋真菌次级代谢产物活性筛选时发现,分离自南极海绵样品的真菌Aspergillus insulicola HDN151418的代谢产物表现出明显的抑菌活性,为此对该菌株进行了大规模发酵以研究其活性成分 (图1)。

图1. 南极海绵共附生真菌Aspergillus insulicola HDN151418次级代谢产物研究
实验过程
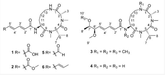
研究人员运用OSMAC策略对菌株Aspergillus insulicola HDN151418的代谢潜能进行了考察,最终确定最优培养条件并对该菌株进行大规模发酵。综合运用各种色谱学方法从其发酵产物中发现了3个新颖的aspochracin类环三肽化合物 (Sclerotiotides M-O,1-3),应用高分辨率质谱、核磁共振谱、紫外光谱、红外光谱、化学转化、Marfey法等方法手段和其理化性质确定了全部化合物的平面及立体结构 (图2)。其中化合物1和2具有新颖的aspochracin类环三肽杂合己二烯二酸 (甲酯) 的结构骨架。此外,运用基于氢-氢,氢-碳偶合常数以及NOE相关信号的构象分析和Mosher法成功解决了已知化合物Sclerotiotide L (4) 柔性侧链手性中心的立体构型。抗菌活性研究结果发现,该类化合物 (Sclerotiotides M-N,1-2) 对蜡状芽孢杆菌 (Bacillus cereus)、副溶血性弧菌 (Vibrio parahemolyticus)、草分枝杆菌 (Mycobacterium phlei) 以及耐甲氧西林金黄色葡萄球菌 (methicillin-resistant coagulase-negative staphylococci) 等菌株具有一定的抑制活性,其结构中的己二烯二酸侧链的羧基以及甲酯部分可能为其抗菌活性必须的药效团。

图2. 南极海绵共附生真菌Aspergillus insulicola HDN151418次级代谢产物结构鉴定
结论
该研究对南极海绵共附生真菌Aspergillus insulicola HDN151418的代谢产物进行研究,发现了新颖的具有抑菌活性的aspochracin类环肽化合物,为进一步研究开发新型抗菌药物提供了重要的药用先导结构类型。
该研究成果以Antibacterial Cyclic Tripeptides from Antarctica-Sponge-Derived Fungus Aspergillus insulicola HDN151418为题,发表于化学药物类期刊Marine Drugs (DOI: 10.3390/md18110532)。博士研究生孙春晓为第一作者,朱天骄教授、李德海教授为共同通讯作者。研究工作得到了国家自然科学基金、国家重点研发计划、国家科技重大专项新药创制专项、科技部重大科技攻关项目、青岛海洋科学技术国家试点实验室、中央高校基本科研业务费专项、山东省“泰山学者”青年专家计划和山东省青年创新计划的支持。
参考文献
1. Zheng, J.; Xu, Z.; Wang, Y.; Hong, K.; Liu, P.; Zhu, W. Cyclic tripeptides from the halotolerant fungus Aspergillus sclerotiorum PT06-1. J. Nat. Prod. 2010, 73, 1133–1137.
2. Liu, J.; Gu, B.; Yang, L.; Yang, F.; Lin, H. New Anti-inflammatory cyclopeptides from a sponge-derived fungus Aspergillus violaceofuscus. Front. Chem. 2018, 6, 226–233.
Marine Drugs (ISSN 1660-3397; IF 4.073) 是国际型开放获取期刊之一,主题涵盖所有来自海洋活性物质的研究,涉及其发现、鉴定及各方面的应用。Marine Drugs采取同行评审,一审周期约为12.3天,文章从投稿到发表平均处理时间仅需33天。
Abstract
Three new aspochracin-type cyclic tripeptides, sclerotiotides M–O (1–3), together with three known analogues, sclerotiotide L (4), sclerotiotide F (5), and sclerotiotide B (6), were obtained from the ethyl acetate extract of the fungus Aspergillus insulicola HDN151418, which was isolated from an unidentified Antarctica sponge. Spectroscopic and chemical approaches were used to elucidate their structures. The absolute configuration of the side chain in compound 4 was elucidated for the first time. Compounds 1 and 2 showed broad antimicrobial activity against a panel of pathogenic strains, including Bacillus cereus, Proteus species, Mycobacterium phlei, Bacillus subtilis, Vibrio parahemolyticus, Edwardsiella tarda, MRCNS, and MRSA, with MIC values ranging from 1.56 to 25.0 µM.
Experimental Process
During our ongoing research on bioactive natural products from Antarctic marine-derived fungi,Aspergillus insulicola HDN151418, a fungal strain isolated from an unidentified sponge, was chosen based on its unique HPLC-UV profile (series UV absorption around 260 nm) and its antibacterial activity against MRCNS and MRSA (detected by the paper diffusion method). Consequently, chemical investigation resulted in the identification of three new aspochracin-type cyclic tripeptides, sclerotiotides M–O (1–3), together with three known compounds, sclerotiotide L (4), sclerotiotide F (5), and sclerotiotide B (6). Compounds 1 and 2 represent the first example of an aspochracin-type cyclic tripeptide that possess a hexa-2,4-dienedioic acid/methyl ester moiety. Here, we address the isolation, elucidation of the structure, and biological activities of the new aspochracin-type cyclic tripeptides, sclerotiotides M–O (1–3).

Conclusions
In summary, chemical investigation of the Antarctica sponge-derived fungus Aspergillus insulicola HDN151418 led to the isolation of three new aspochracin-type cyclic tripeptides, sclerotiotides M–O (1–3), along with the biogenetically related analogues, sclerotiotide L (4), sclerotiotide F (5), and sclerotiotide B (6). Among which, sclerotiotides M (1) and sclerotiotides N (2) represent the first example of aspochracin-type cyclic tripeptide, which was substituted by hexa-2,4-dienedioic acid/methyl ester moieties. Chemical derivatization indicated that compounds 4 and 5 could form from 6 during the fermentation or isolation steps. The antimicrobial activities of all the isolates were evaluated, and its structure–activity relationship (SAR) was also preliminary discussed. Our research results further expanded the members of the aspochracin-type cyclic tripeptide family, which again demonstrated that sponge-derived fungi are important producers of structurally diverse bioactive compounds.


特别声明:本文转载仅仅是出于传播信息的需要,并不意味着代表本网站观点或证实其内容的真实性;如其他媒体、网站或个人从本网站转载使用,须保留本网站注明的“来源”,并自负版权等法律责任;作者如果不希望被转载或者联系转载稿费等事宜,请与我们接洽。